Yahoo Answers is shutting down on May 4th, 2021 (Eastern Time) and beginning April 20th, 2021 (Eastern Time) the Yahoo Answers website will be in read-only mode. There will be no changes to other Yahoo properties or services, or your Yahoo account. You can find more information about the Yahoo Answers shutdown and how to download your data on this help page.

Nina
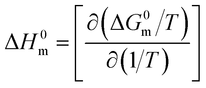
How to calculate a derivative like d/d(1/x)?
I do NOT mean d/dx(1/x), but really d/d(1/x). For example: The Gibbs-Helmholtz equation: http://pubs.rsc.org/services/images/RSCpubs.ePlatf...
10 points for the best answer!
1 AnswerMathematics6 years agoHow to calculate a derivative like d/d(1/x)?
Does anyone know how to calculate a derivative like d/d(1/x)? 10 points for the best answer :)
2 AnswersMathematics6 years agoQuestion about the Schrödinger equation?
For what exact reason does the Schrödinger equation take the second derivative of the wave equation?
3 AnswersPhysics7 years agoCalculating the energy of a hydrogen atom (-13.6 eV)?
The electronic energy for a one-electron system can be written as E= - (me^4)/(2 h-bar^2) (1/n^2).
For some reason, i cannot find the right answer which is -13.6 eV.
Used numbers:
e=1.602*10^-19 C
m=9.11*10^-31 kg
h-bar=6.582*10^-16 Ev*s
Should i use other numbers of units or something? 10 points for the correct answer!
2 AnswersPhysics7 years agoWhat is the reason that electronic wave functions must be antisymmetric?
The electronic wave function must be antisymmetric when two electrons are permuted. What is the reason for this? I know it has to do something with the Pauli principle, but do not really understand how the antisymmetry principle is connected to Pauli. Thank you!
1 AnswerPhysics7 years ago
